歡迎來到 濟南中創工業測試系統有限公司
更新時間:2019-12-04 瀏覽次數:
橡膠套靴靜剛度試驗機主要用于30t軸重鐵路隧道內彈性支撐塊軌道部件橡膠套靴的靜剛度、靜載荷、靜載力性能測試。
測試原理:
通過橡膠套靴靜剛度試驗機向橡膠套靴短側邊試樣(270 mm x 160 mm)施加垂向荷載,測定鼓大和比較小荷載下橡膠套靴短側邊試樣的比較大和比較小垂向位移。
橡膠套靴靜剛度試驗機滿足的要求:
1、能施加至少100kN荷載,精度等級不應低于1級的靜剛度試驗機。
2、加載鋼板長度為300mm,寬度為170mm,厚度不應小于40mm的平鋼板。
3、支承鋼板的長度和寬度不小于被測橡膠套靴短側邊試樣的長度和寬度、厚度不小于25mm的平鋼板。當靜剛度試驗機工作臺的長度或寬度小于支承鋼板的長度或寬度時.支承鋼板的厚度不小于40mm。
4、位移傳感器示值誤差0.01mm的位移傳感器。
5、記錄設備在試驗過程中能進行數字記錄并畫出荷載一位移曲線、采樣頻率不低于50Hz的記錄設備。
操作步驟:
1、試驗環境溫度23℃±2℃;
2、開始試驗前,試臉用所有試樣和設備應在23℃±2℃的環境中至少靜置24h;
3、在橡膠套靴靜剛度試驗機上依次安裝:支承鋼板、砂布(有砂粒面朝上)、橡膠套靴短側邊試樣(270 mmx 160 mm )、砂布(有砂粒面朝h)、加載鋼板,在支承鋼板上至少布置3個獨立的位移傳感器,圍繞加載頭周邊等間距布置,測定加載鋼板的垂向位移。
4、將位移傳感器置零,然后以60kN/min±10kN/min的速度加載至80kN,分別記錄荷載加載至2kN和72kN時加載鋼板相對支撐鋼板的位移。
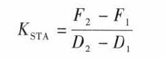
根據公司計算橡膠套靴靜剛度:
當任何一個位移傳感器在F2,和F1作用下的位移差與3個位移傳感器實測平均試的位移差( D2-D1)相差大于20%時,、應重復進行試驗,使荷載施加到橡膠套靴短側邊試樣的中央。
重復上述試驗兩次,每次卸載后停留1min再繼續加載以第二次試驗值作為橡膠套靴短側邊試樣靜剛度。
當利用靜剛度試驗機自身的位移傳感器測定加載鋼板的位移時,需消除試驗機加載時自身變形引起的系統誤差。
相關文章:
橡膠墊板動靜剛度試驗機生產廠家直銷價格 橡膠桿做疲勞試驗時如何取樣?
金屬橡膠材料疲勞試驗機損傷性能研究分析 牽引拉桿橡膠件靜剛度試驗機方法
橡膠靜剛度試驗機操作規程及測試結果分析 橡膠緩沖器靜剛度試驗機測試方法
廠家提供墊板橡膠疲勞試驗機操作規程視頻 機車車輛橡膠件壽命試驗分析
橡膠減震器疲勞試驗機如何選擇設備 橡膠隔震墊疲勞試驗機的應用范圍

銷售總機:0531-85990007 傳真:+86-531-85997770
郵箱:jnzcgy@163.com Skype:jnzcgy_zjc@hotmail.com
售后電話:0531-62302272 售后:jnzcgy_service@163.com
地址:山東省濟南市槐蔭經濟開發區西沙路690號
版權所有:濟南中創工業測試系統有限公司 | 魯ICP備10018659-1號